-
[주간학습 정리] Week 3Naver AI Tech 2024. 8. 23. 13:34
이번 주 학습 한 내용 중
인상 깊은 것과 과거에 사용 안 해본 것을 기록하자1. 데이터 문해력을 기르자
- 데이터 문해력이란 데이터를 읽고 이해하고 이를 바탕으로 분석결과를 전달하는 능력이다.
- 데이터 문해력의 핵심 역량 중 하나는 문제를 잘 정의하고 질문을 잘 하는 것이다.
- 좋은 문제해결 접근방법은 문제를 먼저 정의 한 후 그에 맞는 데이터를 수집하여 문제를 해결하는 것이다.
즉, 문제정의와 데이터를 이해하고 분석하는 능력을 기르자!
[Reference: 데이터 리터러시란 | 정의와 역량, 필요성, 활용 방법과 성공 사례]
2. 다양한 데이터 시각화
- 시각화 그래프(차트)는 매우 다양하다.
- 안써본 도구나 방법 등에 대해 알아보자.
- 이 외에도 다양한 그래프가 있으므로 다양한 시각화 자료를 보고 생각하자.
Text vs Annotation
''' text 와 annotate 특히 annotate를 이용해서 화살표 그리기 ''' fig = plt.figure() ax = fig.add_subplot(111) ax.plot([1, 1, 1], label='1') ax.plot([2, 2, 2], label='2') ax.plot([3, 3, 3], label='3') ax.set_title('title') ax.set_xticks([0, 1, 2]) ax.set_xticklabels(['zero', 'one', 'two']) ax.text(x=1, y=2.5, s='#1 text') # text 추가 방법 1 ax.annotate(text='#2 annotate', xy=(1, 1.75)) # text 추가 방법 2 ax.annotate(text='#3 annotate with arrow', xy=(1, 1.25), xytext=(1, 1.5), arrowprops=dict(facecolor='black') ) # text 추가 방법 3 + 화살표 추가 ax.legend() plt.show()
''' text - Text Properties and layout (https://matplotlib.org/stable/users/explain/text/text_props.html) ''' fig, ax = plt.subplots() ax.set_xlim(0, 10) ax.set_ylim(0, 10) ax.text(x=3, y=6, s='This is \nText', fontsize=20, fontweight='light', # normal, bold, heavy, light, ultrabold, ultralight fontfamily='monospace', # serif, sans-serif, cursive, fantasy, monospace color='blue', linespacing=2, va='center', # top, bottom, center ha='center', # left, right, center rotation='horizontal', # vertical? bbox=dict(boxstyle='round', facecolor='gray', alpha=0.4) ) ax.annotate(text='This is annotate', xy=(4.4, 4.8), xytext=(6, 3), bbox=dict(boxstyle='round', facecolor='gray', alpha=0.4), arrowprops=dict(arrowstyle='->'), zorder=10 ) plt.show()
sharey
''' bar plot - sharey ''' x = list('ABCDE') y = np.array([1, 2, 3, 4, 5]) clist = ['blue', 'gray', 'gray', 'gray', 'red'] color = 'green' fig, axes = plt.subplots(1, 2, figsize=(10, 5)) fig.suptitle('color') axes[0].bar(x, y, color=clist) axes[1].barh(x, y, color=color) fig, axes = plt.subplots(1, 2, figsize=(10, 5), sharey=True) # y label 공유 fig.suptitle('sharey') axes[0].bar(x, y, color='blue') axes[1].bar(x, y[::-1], color='red') plt.show()
Countplot
''' Countplot - 범주를 이산적으로 세서 막대 그래프로 그려주는 함수 - 데이터프레임에서 원하는 열의 각각의 고유한 값의 개수를 세어 그래프로 표현함 ''' sns.countplot(x='race/ethnicity',data=student, hue='gender', palette='dark:red', order=sorted(student['race/ethnicity'].unique()) )
Violin Plot
''' Violin Plot - 흰점이 50%, 중간 막대가 IQR 범위를 의미함 ''' fig, ax = plt.subplots(1,1, figsize=(12, 5)) sns.violinplot(x='math score', data=student, ax=ax, bw_method=0.1, cut=0, hue='gender', inner='quartile' ) plt.show()
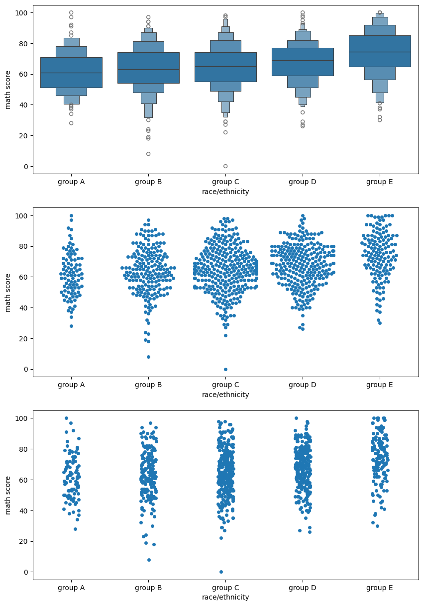
boxen plot, swarm plot, strip plot
''' boxen plot swarm plot strip plot ''' fig, axes = plt.subplots(3,1, figsize=(10, 15)) sns.boxenplot(x='race/ethnicity', y='math score', data=student, ax=axes[0], order=sorted(student['race/ethnicity'].unique())) sns.swarmplot(x='race/ethnicity', y='math score', data=student, ax=axes[1], order=sorted(student['race/ethnicity'].unique())) sns.stripplot(x='race/ethnicity', y='math score', data=student, ax=axes[2], order=sorted(student['race/ethnicity'].unique())) plt.show()
scatter, hist, kde
''' scatter hist plot kde plot ''' fig, axes = plt.subplots(1,3, figsize=(12, 4)) ax.set_aspect(1) axes[0].scatter(student['math score'], student['reading score'], alpha=0.2) sns.histplot(x='math score', y='reading score', data=student, ax=axes[1], color='orange', cbar=False, bins=(10, 20), ) sns.kdeplot(x='math score', y='reading score', data=student, ax=axes[2], fill=True, ) plt.show()
'Naver AI Tech' 카테고리의 다른 글
[주간학습 정리] Week 6 (2) 2024.09.13 [주간학습 정리] Week 5 (1) 2024.09.06 [주간학습 정리] Week4 (0) 2024.08.30 [주간학습 정리] Week 2 (0) 2024.08.16 [주간학습 정리] Week 1 (0) 2024.08.09